Подібні питання часто зустрічаємо в інтернеті, і кілька місяців тому ми вже відповідали на аналогічне питання, але з тих пір у нас з’явилося безліч нових читачів і ми вирішили написати ще одну статтю, щоб знову розповісти, як працює небесна механіка.
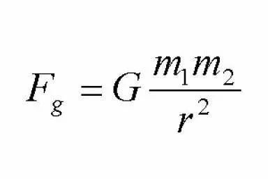
Для початку давайте перевіримо, наскільки вірне твердження про те, що Сонце притягує Місяць в два рази сильніше, ніж Земля. Скористаємося для цього законом всесвітнього тяжіння, відомим більшості ще зі школи.

Закон всесвітнього тяжіння
Підставивши сюди по черзі спершу маси Сонця і Місяця, а також середню відстань між ними, а потім маси Землі і Місяця і середній радіус орбіти Місяця, ми побачимо, що Сонце дійсно притягує Місяць в 2,2 рази сильніше, ніж Земля.
У непідготовленої людини виникає питання: чому ж тоді Сонце не відтягує Місяць до себе, геть від Землі? Вона бачить тут серйозне протиріччя, чим користуються недобросовісні блогери-любителі, щоб “довести” помилковість закону всесвітнього тяжіння і залучити побільше читачів.

Джерело: sciencelearn.org.nz
При цьому про закони небесної механіки ці блогери просто замовчують або не знають. Справа в тому, що для того, щоб Сонце відтягало Місяць від Землі на себе, Сонце і Земля повинні перебувати в стані спокою, тобто вони повинні бути цвяхами прибитими до небесної тверді, а в системі Земля-Сонце-Місяць не повинно діяти ніяких зовнішніх сил і в момент появи даної системи у тіл не повинно бути ніяких швидкостей і прискорень.
Насправді ж жодна з цих умов не виконується. Земля обертається навколо Сонця точно так само як і Місяць, і на неї так само діє сила тяжіння.
Це можна добре показати на наступній досить грубій аналогії: припустимо, ви (Земля) їдете в швидкісному поїзді (Сонце) і у вашому купе на столі стоїть чашка (Місяць). Поїзд діє на вас і на чашку з різними силами, але забезпечує вам обом однакове прискорення. Завдяки цьому, величезна сила, з якою поїзд діє на чашку, ніяк не заважає вам взяти її і зробити ковток, незважаючи на те, що ваша сила значно менше, ніж поїзда.

Подібним чином відбувається і з планетами. Завдяки тому ж закону всесвітнього тяжіння можна розрахувати прискорення, яке Сонце надає Землі і Місяцю. Різниця між цими прискореннями виявиться незначною порівняно з прискоренням, яке надає Місяцю Земля, тому Сонце і не може відтягнути Місяць від Землі.
Якщо ж розглядати питання глобальніше, то виявиться, що Місяць в більшій мірі обертається навколо Сонця, ніж навколо Землі. Земля лише утримує Місяць поруч з собою. Якщо ми різко приберемо Землю з Сонячної системи, то Місяць все одно не полетить до Сонця, а буде обертатися навколо нього по орбіті Землі.




